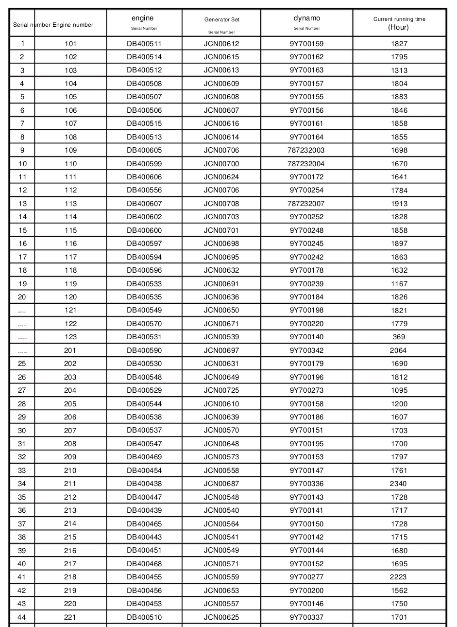
3516B caterpillar Diesel generator
1600 kw each
Year: 2018
Running hours: 2k
Good condition
Total: 60 units
Price: 309 000$ per pcs.
FOB Bangladesh
MOQ per customer request
If you are interested in buying this stock offer or you have any questions feel free to contact us.



